Freewire is a Keras-like API for creating optimized freely wired neural networks to run on CUDA. Freely wired neural networks are defined at the level of individual nodes (or neurons) and their connections, instead of at the level of homogeneous layers. The goal of Freewire is to make it so that any arbitrary DAG of artificial neurons can be defined first and the optimized set of operations can be compiled at runtime and run on CUDA.
This repository is a starting point for exploring how to design and optimize neural networks that can be wired in very novel ways at the level of individual artificial neurons, while retaining the speed and memory efficiency of traditional neural networks. Future versions will likely make use of sparse tensor operations.
Since freely wired neural networks may not fit the paradigm of having layers, it's necessary to consider ways to optimize them for training and inference. The most time-efficient implementation of a freely wired network would be a series of parallelized operations that extend a 1D tape of numbers, where each operation is a function of the input and the results of all previous operations. This code uses a topological sorting algorithm to find the minimum number of required operations for a given graph.
This graphic shows the 1D tape on the left and the freely wired neural network that it represents on the right (biases are left out in this image for simplicity). Also note than the 1D tape is extended to 2D to allow training in batches.
from freewire import Node, Graph, Model
# node with no arguments is an input node
inputs = [Node(), Node()]
# first argument of Node constructor is a list of input nodes
hidden = [Node(inputs, activation='sigmoid') for _ in range(0, 5)]
output = Node(hidden, activation='sigmoid')
# specify which nodes are inputs, hidden, or output nodes when generating graph
g = Graph(inputs, hidden, [output])
m = Model(g)
# create training data
data = [
[0, 0],
[1, 0],
[0, 1],
[1, 1]
]
target = [0, 1, 1, 0]
# similar API to Keras
m.compile(optimizer='sgd', loss='mse')
m.fit(data, target, epochs=10000, batch_size=1)
print("0 xor 0:", m([0, 0]))
print("0 xor 1:", m([0, 1]))
print("1 xor 0:", m([1, 0]))
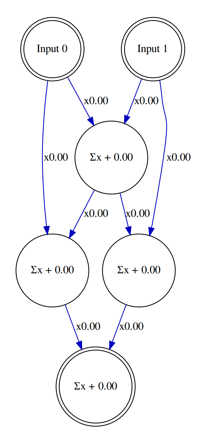
print("1 xor 1:", m([1, 1]))You can visualize a graph to see its architecture and weights (given
that the graph is small enough). The visualization is made using
the graphviz library.
A graph's weights and biases start out as zero. This changes when a graph is used to construct a model.
from freewire import Node, Graph, Model
from freewire import visualize
inputs = [Node(), Node()]
hidden1 = Node(inputs)
hidden2 = Node([inputs[0], hidden1])
hidden3 = Node([inputs[1], hidden1])
output = Node([hidden2, hidden3])
g = Graph(inputs, [hidden1, hidden2, hidden3], [output])
visualize(g, title="architecture")Now, create a model from this graph and view the updated weights and biases.
m = Model(g, initialization="he")
visualize(g, title="architecture_and_weights")See the examples folder for more examples, including a network for MNIST with randomly wired layers.
git clone https://github.com/noahtren/Freewire
cd Freewire
pip install -e .
This will automatically install the requirements in requirements.txt:
- numpy
- torch==1.2.0
- graphviz
- pydot
- Optional: the
mnistpackage to run the example on MNIST dataset



